200 colonias en el programa de Atención Prioritaria por covid
Esta semana 200 colonias en el programa de Atención Prioritaria formarán parte de acciones especiales para la detección y prevención de covid
Por: Redacción LGO
Con el fin de detectar y atender posibles casos de contagio por covid, esta semana 200 colonias formarán parte del programa de Atención Prioritaria.
Las 200 localidades representan el 40.3 por ciento del total de casos positivos en la Ciudad de México. Esta cifra se traduce en 2,719 casos activos.
Checa esto: Bares cerrarán 15 días más; habrá mayor revisión a restaurantes
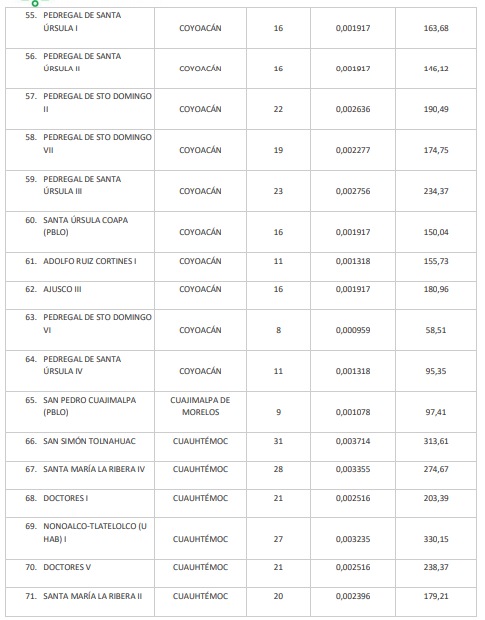
Colonias en el programa de Atención Prioritaria
Para facilitar el acceso de pruebas covid-19 a los habitantes de las colonias del programa de Atención Prioritaria, se llevarán a cabo las siguientes acciones:
- Se realizarán 20,000 pruebas diarias para hacer detección temprana y aislar de manera oportuna los casos, brindarles apoyo y la atención médica adecuada.
- En los 200 puntos, se realizarán pruebas rápidas de antígeno. Los resultados se obtienen en aproximadamente 20 minutos.
- Los 200 puntos donde se realizarán las pruebas comprenden: 117 centros de salud, 33 quioscos de salud, 50 macroquioscos cuyo horario de atención se ampliará de 9:00 a 17:00 h.
A continuación te presentamos las 200 colonias que recibirán atención del programa esta semana:
A partir del lunes 30 de noviembre, 91 nuevas colonias se incorporan a los protocolos de atención; 49 colonias salen del programa.
En este siguiente enlace puedes consultar a detalle los barrios y colonias que especificamos anteriormente.
Cabe mencionar que las colonias que salen del programa deberán tomar las siguientes acciones:
- Uso riguroso del cubrebocas. Además deberán reforzar esfuerzos en el lavado y desinfección de manos.
- Evitar lugares concurridos, poco ventilados y sin sana distancia.
- Dado que aún permanecerán en el radar de zonas de alto contacto de covid, deberán extremar precauciones al salir de casa.
- Si los habitantes de estas localidades presentan síntomas, deberán acudir a los quioscos o centros de salud.de salud.
- El personal de la Secretaría de Salud y la Dirección General de Participación Ciudadana realizará visitas a los hogares para brindar información y orientación.
No olvides que la Ciudad de México está en Semáforo Epidemiológico Color Naranja en Alerta al Límite del Semáforo Rojo. No hay que confiarse ni bajar la guardia.
Mantén las medidas sanitarias preventivas para reducir los riesgos de contagio: uso riguroso de cubrebocas, lavado frecuente de manos, uso de gel antibacterial al 70 por ciento de alcohol y sana distancia.
También lee: ¡Tláhuac ya tiene biciestacionamiento! Funcionará 24/7